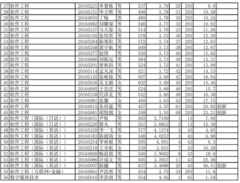
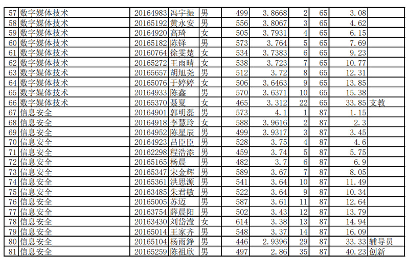
球友会2020届推免生名单

作者: 时间:2019-09-19 点击数:14992 字号:


  版权所有:球友会-千亿球友会·唯一官方网站 电话:(024)83680498  传真:(024)83680522 邮编:110169

Baidu
sogou